Artículos originales
Mutaciones en el gen HFE y estado del hierro en voluntariossanos del noroeste argentino
HFE gene mutations and iron status in healthy volunteers from northwestern Argentina
Mutaciones en el gen HFE y estado del hierro en voluntariossanos del noroeste argentino
Bioquímica y Patología Clínica, vol. 86, núm. 3, pp. 26-32, 2022
Asociación Bioquímica Argentina
Resumen: Introducción: La proteína HFE (Human hemochromatosis protein) es codificada por el gen HFE y participa en la regulación del metabolismo del hierro. Tres variantes alélicas del gen HFE se han correlacionado con la hemocromatosis hereditaria: C282Y, H63D y S65C. Objetivos: Establecer la prevalencia de las mutaciones más frecuentes en el gen HFE en una población de individuos aparentemente sanos y estudiar su relación con el metabolismo del hierro. Materiales y Métodos: Sesenta y nueve individuos (48 mujeres y 21 hombres) fueron analizados durante el período de septiembre de 2015 a agosto de 2018 en Tucumán, Argentina. Se determinó hemograma, hierro, transferrina, saturación y ferritina. Las mutaciones en el gen HFE se efectuaron mediante PCR en tiempo real. Resultados: La prevalencia fue del 28 % (19/69; IC95% = 18-39%). El 9 % (6/69) presentó mutación heterocigota C282Y y 19 % (13/69; 11 heterocigotos y 2 homocigotos), en codón 63 (H63D). No se detectó la mutación S65C. En los individuos que no portaban mutación, los parámetros de la serie roja y el análisis de hierro fueron más altos en los hombres que en las mujeres (p< 0,05). No hubo diferencias significativas en el metabolismo del hierro entre los voluntarios sanos y los portadores de C282Y o H63D (p> 0,05). Conclusiones: Este es el primer estudio que muestra la frecuencia de las tres variantes del gen de la hemocromatosis en el noroeste argentino. La mutación más prevalente fue la H63D. La presencia de la mutación en el gen HFE no resultó en una sobrecarga bioquímica significativa de hierro.
Palabras clave: gen HFE, desórdenes del metabolismo del hierro, C282Y, H63D, S65C.
Abstract: Introduction: The HFE protein, encoded by the HFE gene, participates in iron homeostasis regulation. Three allelic variants of the HFE gene have been correlated with hereditary hemochromatosis: C282Y, H63D and S65C. Objectives: The purpose of this study was to establish the prevalence of the most frequent mutations in the HFE gene in an apparently healthy population of northwestern Argentina, and to study its relationship with iron metabolism. Materials and Methods: Sixty-nine individuals (48 women and 21 men) were analyzed during the period September 2015-August 2018 in Tucumán, Argentina. Total blood count and iron parameters were measured. Mutations in the HFE gene were determined by real-time PCR. Results: The prevalence was 28% (19/69; CI95%= 18-39%). Nine percent (9%, 6/69) had a heterozygous C282Y mutation, and 19% showed an H63D mutation (13/69; 11 heterozygous and 2 homozygous). The S65C mutation was not detected. Red blood cell parameters and iron analysis were higher in wild-type men than in wild-type women (p<0.05). No significant differences in iron metabolism were found between healthy volunteers and C282Y and H63D carriers (p>0.05). Conclusions: This is the first study to show the frequency of the three hemochromatosis gene variants in the northwest region of Argentina, and to determine that the H63D mutation was the most prevalent. This HFE mutation did not result in significant biochemical iron overload.
Keywords: HFE gene, iron metabolism disorders, C282Y, H63D, S65C.
Introducción
El hierro es un elemento - traza esencial, que es requerido como componente de moléculas sensoras, transportadoras y almacenadoras de oxígeno, así como también de enzimas involucradas en la oxidación y reducción de substratos durante la producción de energía, el metabolismo intermedio y la generación de especies reactivas de oxígeno y nitrógeno para la defensa del huésped.1 El organismo humano dispone de varios mecanismos a través de los cuales los niveles de hierro se mantienen en homeostasis. La absorción, el reciclaje y el almacenamiento controlados del hierro forman parte de estos mecanismos. El principal regulador conocido de la homeostasis del hierro es la hepcidina, que se expresa a partir del gen HAMP ubicado en el brazo largo del cromosoma 19 (19q13.1). La expresión de HAMP es estimulada por la sobrecarga de hierro, la infección y la inflamación, mientras que la deficiencia de hierro, la hipoxia, la anemia y la eritropoyesis actúan de manera opuesta. Varias proteínas ubicadas en la superficie de los hepatocitos se consideran "sensores de hierro". Estos son la hemojuvelina, HFE, receptor de transferrina 1 (TfR1) y TfR2.2
La proteína de membrana HFE es similar a las proteínas HLA de clase I y se une a la microglobulina beta-2 (β2M).3 HFE se asocia con TfR1 a través de sus dominios α1 y α2 y con TfR2 a través de su dominio α3.4 La unión de HFE a TfR1 o TfR2 depende de los niveles de hierro.2
La localización citogenética del gen HFE es 6p22.2 y su mutación está relacionada con la hemocromatosis hereditaria (HH).5 En 1996, Feder et al identificaron una región de 250 kb, entre D6S2238 y D6S2241, que contenía el gen de la hemocromatosis. Llamaron al gen HLA-H3, pero el Comité de Nomenclatura de la Organización Mundial de la Salud (OMS) para Factores del Sistema HLA y el Comité de Nomenclatura del Genoma HuGO aprobaron el símbolo HFE (H = alto; FE = hierro) (OMIM *613609) para nombrarlo.5
Las mutaciones comunes de HFE representan aproximadamente el 90 % de los fenotipos de hemocromatosis en personas de raza blanca descendientes de europeos occidentales, y las tres mutaciones más comunes de la región codificante de HFE son: p.C282Y (exón 4; c.845G→A; rs1800562); p.H63D (exón 2; c.187C→G; rs1799945), y p.S65C (exón 2; c.193A→T; rs1800730).3,5
La mutación puntual en el alelo C282Y (HFE; OMIM 235200. 6p22.2) interrumpe la formación de un enlace disulfuro en la proteína HFE y altera su capacidad para unirse a β2M; como consecuencia, HFE no puede alcanzar la superficie celular y se agrega intracelularmente, por lo tanto, HFE no puede regular y ello da como resultado una mayor absorción de hierro y, con frecuencia, hemocromatosis. Por el contrario, el alelo H63D (HFE; OMIM 613609. 6p22.2) tiene un efecto mucho más débil sobre la absorción de hierro y no previene la expresión en la superficie celular como en C282Y, sino que simplemente reduce la eficacia de HFE en la regulación negativa de la absorción de hierro.6,8
La mutación HFE C282Y ocurrió en Europa continental antes del 4.000 a. C. y es contemporánea de la revolución agrícola neolítica. C282Y puede ser una adaptación a la disminución de la ingesta de hierro asociada con la dieta neolítica.9,10 Hay un gradiente negativo de distribución de esta mutación desde el norte hacia el sur de Europa.11 H63D parece considerablemente más antiguo que C282Y y demuestra una distribución mundial debido a un origen multicéntrico. Tiene una alta prevalencia en Europa (10 - 30 %), especialmente en los países mediterráneos, pero también está presente en el norte de África, Oriente Medio y algunas regiones de Asia.12 Debido a que el defecto genético no afecta la reproducción (e incluso podría haber conferido ventajas contra la deficiencia de hierro o la infección por patógenos), se propagó entre las poblaciones.13
El Estudio de Detección de Hemocromatosis y Sobrecarga de Hierro .HEIRS, por sus siglas en inglés) fue un gran estudio poblacional multiétnico de sobrecarga de hierro en 101.168 participantes, en toda América del Norte, que no detectó casos en asiáticos ni en residentes de las islas del Pacífico y pocos casos en poblaciones hispanas, negras y nativas americanas. En blancos, el genotipo H63D/wild type (H63D/WT) fue más frecuente (24 %) que C282Y/WT (10 %).14 Un estudio realizado en el centro de Argentina sobre 421 donantes de sangre detectó un homocigoto para C282Y (0,24 %) y un homocigoto para H63D (0,24 %), mientras que hubo 19 y 55 para C282Y/WT (4,5 %) y H63D/WT (13,0 %), respectivamente.15
La información sobre mutaciones en los genes implicados en la sobrecarga primaria de hierro en la población argentina es aún limitada. En este escenario, se estudiaron las mutaciones más frecuentes del gen HFE, C282Y, H63D y S65C, en voluntarios sanos del noroeste argentino, mediante una técnica de PCR en tiempo real, “casera”, simple, rápida y sensible. Al mismo tiempo, se evaluó el estado del hierro.
Materiales y métodos
Diseño y población
Se realizó un estudio transversal prospectivo. La población estuvo compuesta por estudiantes y trabajadores universitarios adultos aparentemente sanos, que fueron reclutados en el Instituto de Bioquímica Aplicada de la Universidad Nacional de Tucumán (UNT), desde septiembre de 2015 a agosto de 2018. Los análisis se llevaron a cabo en el Laboratorio de Hematología de dicho instituto. Se obtuvo una muestra de sangre, que fue recolectada en un tubo con anticoagulante EDTA-K2, y una fracción sin anticoagulante para las determinaciones en suero.
Estudios hematológicos
Se realizó hemograma en contador hematológico Sysmex KX-21N (Kobe, Japón). El metabolismo del Fe se estudió mediante hierro sérico (Fe); la capacidad total de unión de hierro a transferrina (CTUT), mediante método colorimétrico de Wiener lab (Rosario, Argentina), y la ferritina se midió por electroquimioluminiscencia (COBAS, Roche). La saturación de transferrina (SAT) se calculó con la siguiente fórmula: SAT [%]= (Fe/CTUT)*100.
Estudios moleculares
La caracterización de las mutaciones presentes en el gen HFE se realizó mediante una técnica de PCR “casera” en tiempo real con sondas FRET (transferencia de energía fluorescente mediante resonancia).16 El aislamiento del ADN genómico se llevó a cabo con el High Pure PCR Template Preparation Kit (Roche Diagnostics) a partir de 200 µL de sangre entera anticoagulada con EDTA-K2.). La reacción en cadena de la polimerasa, las curvas de melting (disociación) y su análisis posterior se ejecutaron en el equipo LightCycler 2.0 (Roche), donde se miden simultáneamente las señales emitidas por dos fluoróforos diferentes. Se utilizaron los siguientes pares de cebadores y sondas:
- p.C282Y, primer forward: 5´-TGG CAA GGG TAA ACA GAT CC-3´; y primer reverse: 5´-CTC AGG CAC TCC TCT CAA CC-3´. Donor probe: 5’-CAGAGATATACGTGCCAGGT GGAGCA-fluorescein-3’. Acceptor probe: 5’-TYE705-GCCTGGATCAGCCCCTCATTGT-fosfato-3’.
- p.H63D/p.S65C, primer forward: GTCTCCAGGTTCACACTCTC; y primer reverse: CCATAATAGTCCAGAAGTCAACAG. Donor probe: 5’-GTTCGTGTTCTATGATCATGAGA GTCGCCGT-fluoresceína-3’. Acceptor probe: 5’-TYE665-GGAGCCCCGAACTCCAT GGGTTTCC-fosfato-3’.
Las reacciones de amplificación se llevaron a cabo en un volumen final de 20 μL que contenía: 0,06 μM de primer forward; 0,2 μM de primer reverse; 0,2 μM de cada sonda fluorescente, y 2 μL de ADN. El perfil de ciclado fue: activación enzimática y desnaturalización de la muestra a 94°C durante 8 minutos; 42 ciclos de desnaturalización a 95°C durante 8 segundos; atemperado a 53°C por 12 segundos, y luego, extensión a 72°C por 12 segundos. El ensayo se evaluó utilizando controles heterocigotos para cada mutación. El análisis de las temperaturas de melting (Tm) de los fragmentos amplificados permitió la diferenciación entre los alelos salvajes (WT, wild type) y los alelos mutados del gen HFE. La validación de los resultados se realizó mediante secuenciación de ADN.
Consideraciones éticas
Los participantes del estudio firmaron un consentimiento informado. La Declaración de consentimiento informado fue aprobada por el Comité de Bioética de la Facultad de Medicina de la UNT.
Análisis estadístico
Se realizó mediante el programa estadístico SPSS 20.0. Los resultados se informaron como mediana y rango. Para las comparaciones, se utilizó el test de la U de Mann Whitney y se adoptó un nivel de significación p <0,05.
Resultados
Se estudiaron 69 sujetos del noroeste argentino, 48 mujeres y 21 hombres. La prevalencia de mutaciones en el gen HFE fue de 28 % (IC95%= 18-39 %), ya que 19 voluntarios eran portadores: 2 individuos fueron homocigotos para la mutación H63D (3 %), 6 fueron heterocigotos para la mutación C282Y (C282Y/WT, 9 %) y 11 portaban H63D/WT (16 %). Los sujetos no estaban emparentados entre sí, a excepción de dos mujeres heterocigotas C282Y, que eran primas. La mutación S65C no fue detectada.
La mutación C282Y mostró una frecuencia alélica del 4 % (IC 95% 0,6-8,6), mientras que la frecuencia alélica de H63D fue del 11 % (IC 95% 3,6-18,4). Las distribuciones del genotipo HFE para C282Y y H63D estaban en equilibrio de Hardy-Weinberg.
La figura 1 muestra las curvas de Tm obtenidas por la PCR “casera” en tiempo real. La técnica permitió detectar las tres mutaciones HFE en controles previamente reconocidos.
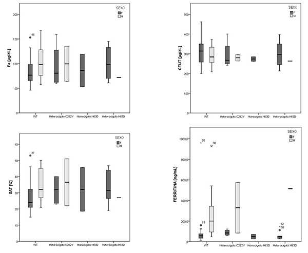
En la tabla 1, se muestran los resultados según la presencia de mutación HFE y sexo. En los individuos que no portaban mutación, los parámetros de la serie roja y el análisis de hierro fueron más altos en los hombres que en las mujeres (p< 0,05). Cuatro mujeres que no tenían mutación y una con mutación C282Y/WT mostraron anemia (Hb< 120 g/L). Ellas presentaron ferritina normal, excepto una sin mutación que mostró un aumento de la misma (959,9 ng/mL). El recuento total y diferencial de leucocitos no mostró diferencias significativas (p >0,05).
La tabla 2 muestra los resultados del estudio del metabolismo del hierro de acuerdo con el tipo de mutación en el gen HFE y sexo. Si bien no hubo diferencias significativas entre los grupos según el tipo de mutación HFE (p >0,05), 4 individuos sin mutación (3 hombres y una mujer) demostraron niveles altos de ferritina (> 500 ng/mL), así como también, 2 individuos de sexo masculino, uno C282Y/WT y otro H63D/WT (Figura 2).

| Parámetro | Mujeres | Hombres | ||
| Sin mutación n= 24 | Con mutación HFE n= 12 | Sin mutación n= 13 | Con mutación HFE n= 2 | |
| EDAD [años] | 28 (22-64) | 26 (24-37) | 32 (21-63) | 32 (21-42) |
| GR [x1012/L] | 4.42 (3.97-5.02) | 4.37 (3.84-5.03) | 4.91 (4.37-5.93)* | 4.66 (4.36-4.96) |
| HTO [L/L] | 0.40 (0.37-0.43) | 0.40 (0.35-0.44) | 0.44 (0.41-0.50)* | 0.42 (0.39-0.44) |
| HB [g/L] | 126 (114-141) | 128 (113-137) | 146 (133-164)* | 138 (127-148) |
| VCM [fL] | 89.5 (83.0-95.0) | 91 (82-94) | 90 (86-96) | 89 (88-90) |
| HCM [pg] | 29.0 (26.0-31.0) | 29.5 (25.0-31.0) | 30.0 (28.0-33.0)* | 29.4 (29-29.8) |
| CHCM [g/L] | 321 (308-330) | 321 (298-338) | 329 (317-372)* | 329 (326-333) |
| ADE [%] | 12.8 (11.7-17.4) | 12.8 (11.8-13.5) | 12.7 (12.1-13.7) | 12.35 (12.3-12.4) |
| Fe [μg/dL] | 78 (47-153) | 94 (53-145) | 103 (69-167)* | 104 (72-135) |
| CTUT [μg/dL] | 298 (200-398) | 269 (213-397) | 275 (209-372) | 263.5 (263-264) |
| SAT [%] | 27 (16-53) | 31.5 (19-47) | 41 (22-50)* | 39 (27-51) |
| Ferritina [ng/mL] | 61.1 (13.2-959.9) | 51.2 (26.3-100.5) | 184.3 (47.0-930.5)* | 299,4 (83.8-514,9) |
| GB [x109/L] | 6.35 (4.10-11.20) | 6.75 (5.00-8.50) | 7.20 (3.30-11.00) | 8.15 (7.30-9.00) |
| PMN [x109/L] | 3.50 (2.18-7.06) | 3.64 (2.24-5.64) | 4.39 (1.55-9.90) | 5.62 (4.23-7.02) |
| LINF [x109/L] | 2.32 (1.23-4.17) | 2.12 (1.43-4.08) | 2.09 (0.66-2.67) | 1.88 (1.71-2.04) |
| PME [x109/L] | 0.10 (0.00-0.92) | 0.13 (0.00-0.43) | 0.14 (0.06-0.95) | 0.30 (0.09-0.51) |
| PMB [x109/L] | 0.00 (0.00-0.15) | 0.00 (0.00-0.10) | 0.00 (0.00-0.05) | 0.00 (0.00-0.00) |
| MON [x109/L] | 0.31 (0.06-0.57) | 0.28 (0.00-0.77) | 0.43 (0.13-0.60) | 0.32 (0.18-0.46) |
| PLAT [x109/L] | 239 (149-343) | 188 (160-627) | 224 (169-326) | 248 (175-320) |
| Mutación HFE | Sexo | Fe [μg/dL] | CTUT [μg/dL] | Saturación [%] | Ferritina [ng/mL] | ||
| Wild type | Hombres N= 18 | Mediana | 98,5 | 284 | 32 | 200,60 | |
| Rango | 57-167 | 209-372 | 21-50 | 47,00-930,50 | |||
| Mujeres N= 32 | Mediana | 76.5 | 314 | 24 | 57,55 | ||
| Rango | 46-153 | 200-462 | 15-53 | 13,2-959,9 | |||
| Heterocigotos C282Y | Hombres N= 6 | Mediana | 99,5 | 280 | 36,5 | 92,15 | |
| Rango | 64-135 | 264-296 | 22-51 | 59,3-574,7 | |||
| Mujeres N= 2 | Mediana | 80,5 | 267 | 32 | 84,65 | ||
| Rango | 59-159 | 242-400 | 23-40 | 59,30-122,60 | |||
| Homocigotos H63D | Mujeres N= 2 | Mediana | 86 | 274 | 32 | 49,100 | |
| Rango | 53-119 | 262-285 | 19-46 | 26,8-71,4 | |||
| Heterocigotos H63D | Hombres N= 1 | Resultado | 72 | 263 | 27 | 514,90 | |
| Mujeres N= 10 | Mediana | 98,5 | 296,5 | 31,5 | 47,55 | ||
| Rango | 61-145 | 213-397 | 19-47 | 26,30-147,00 | |||

Discusión
La hemocromatosis hereditaria es una de las enfermedades genéticas más comunes. Por lo general, el diagnóstico se puede hacer fácilmente en un paciente caucásico con saturación de transferrina y ferritina sérica elevadas y un resultado característico de una prueba genética (homocigoto C282Y). Este es el patrón genético clásico que se observa en más del 90 % de los casos típicos. La expresión de la enfermedad homocigota C282Y varía desde una evidencia nula de sobrecarga de hierro hasta una sobrecarga masiva de hierro con disfunción orgánica.17 En la actualidad, el diagnóstico se realiza en etapas más tempranas como consecuencia de una detección mejorada de casos debido a una mayor conciencia médica y un mayor índice de sospecha.
En el presente trabajo, no se detectaron homocigotos C282Y como en otros estudios de Argentina, Polonia, Brasil y España.18,19,20,21 En cambio, Soria et al detectaron un caso entre 421 donantes de sangre argentinos, pero no explicaron si el sujeto era asintomático o presentaba sobrecarga de hierro.15 La homocigosidad C282Y da como resultado una predisposición genética, que requiere la concurrencia de factores ambientales o relacionados con el huésped para producir la enfermedad. El uso generalizado de las pruebas HFE ha aumentado la posibilidad de detectar la homocigosis C282Y en personas asintomáticas. Sin embargo, la baja penetrancia de la mutación C282Y es el principal argumento en contra del uso del cribado genético en la población general. En cambio, se debe considerar la pesquisa bioquímica (seguida de pruebas genéticas, cuando esté indicada) en grupos con una alta prevalencia de este polimorfismo (pacientes con enfermedad hepática, porfiria cutánea tarda y/o condrocalcinosis; familiares de pacientes con hemocromatosis; poblaciones del norte de Europa).22
El heterocigoto H63D porta una copia de una mutación menos significativa. Este patrón se observa en aproximadamente el 20 % de la población caucásica y generalmente se asocia con estudios de hierro normales. Es tan común en la población general que la presencia de sobrecarga de hierro debería estar relacionada con otro factor de riesgo.17 La mutación H63D fue la más prevalente en el estudio actual, lo cual concuerda con estudios previos informados a nivel nacional e internacional.15,18,19,20,21,22,23 Los trabajos argentinos estudiaron poblaciones del área central de Argentina, donde el aporte de la inmigración italiana y española fue muy importante.15,18 La región noroeste del país tiene una historia demográfica diferente, caracterizada por la ausencia de una inmigración masiva italiana y una importante llegada española y árabe (principalmente de Siria, Líbano, Irak y Palestina). Además, la población del noroeste tiene una mayor proporción de descendientes de amerindios.24,25,26
La frecuencia alélica de la mutación C282Y (4 %) encontrada en voluntarios del noroeste argentino fue ligeramente superior a la reportada previamente por otros autores argentinos y por otros países que dieron origen a nuestra población.15,18 En el centro de España e Italia, la frecuencia alélica de la mutación C282Y fue de 1,7 % y 1,9 %, respectivamente, mientras que en la población libanesa no se detectó.23,27,28 La búsqueda bibliográfica no reveló estudios realizados en Siria, Irak y Palestina.
La frecuencia alélica de la mutación H63D (11 %) fue superior a la reportada para la zona central de Argentina (6,7 %) e inferior a la detectada en Buenos Aires (15%).15,18 Estos hallazgos estarían relacionados con el diferente grado de mestizaje en las diversas regiones geográficas de Argentina.
El diagnóstico clínico de la hemocromatosis hereditaria (HH) se sospecha a partir de la ferritina sérica. Si la ferritina está elevada, se inicia el diagnóstico de HH y se debe comenzar un estudio clínico completo.22 En el trabajo actual, cuatro individuos sin mutación HFE demostraron niveles altos de ferritina (>500 ng/mL). Según Adams et al, es poco probable que una hiperferritinemia leve (< 1000 ng/mL) sea causada por mutaciones en el gen HFE.22 Este hecho estaría relacionado con un fenómeno inflamatorio subyacente, la obesidad o el consumo de alcohol.17,29 Por otro lado, el estudio HEIRS ha reportado la enfermedad hepática y la diabetes como causas potenciales de los niveles elevados de ferritina sérica.22
En concordancia con otros autores, los parámetros de hierro no fueron estadísticamente diferentes cuando se compararon los grupos con y sin mutación en el gen HFE.14,21 Por el contrario, los mismos parámetros fueron más altos en niños polacos con mutación HFE.19 El estudio HEIRS, al igual que el presente, demostró que los valores de ferritina de los genotipos C282Y/WT y H63D/WT no fueron significativamente diferentes de los de los participantes con genotipo normal.14 Jackson et al detectaron diferencias significativas en hierro sérico, CTUT y SAT entre donantes de sangre que carecían de mutaciones y grupos con mutación HFE, pero las mujeres heterocigotas H63D y C282Y no mostraron diferencias significativas en los niveles de ferritina en comparación con los donantes de genotipo WT.30 Probablemente, la falta de diferencias significativas en el análisis de hierro en el presente trabajo se debe al hecho de que la mayoría de los sujetos que presentan la mutación HFE fueron mujeres heterocigotas H63D. Se debe tener en cuenta que las concentraciones séricas de hierro y ferritina están influenciadas por la edad, el sexo, la dieta y la enfermedad, así como por la variación biológica dentro de un individuo, y por las variantes metodológicas.29
Los leucocitos totales de los sujetos con y sin mutación HFE, así como sus distintos subtipos, no difirieron significativamente. Según Barton et al, la homocigosis C282Y se asoció significativamente con un incremento del recuento de linfocitos y basófilos sanguíneos.31 Dado que no se detectaron sujetos homocigotos C282Y, este hecho no pudo ser corroborado. Una limitación del estudio es el tamaño pequeño de la muestra y otra es la falta de registro del origen étnico de los participantes.
Este es el primer estudio realizado en la región Noroeste de Argentina para detectar mutaciones en el gen HFE, y la mutación H63D fue la más prevalente. Se requiere la incorporación de un mayor número de muestras para una determinación más precisa de la frecuencia de los alelos en la población objetivo, a fin de contribuir a la investigación de la distribución de mutaciones del gen HFE en Sudamérica y establecer el origen de las mutaciones en Argentina.
Agradecimientos
El presente trabajo de investigación fue realizado con el apoyo de la Secretaría de Ciencia, Arte e Innovación Tecnológica de la Universidad Nacional de Tucumán, PIUNT 26/D520 y de la Fundación Alberto J. Roemmers.
Los autores agradecen al Laboratorio Tucumán y a su Director, Bioquímico Especialista Guillermo Fabián Vechetti, por el préstamo de su equipamiento para la realización de las técnicas de biología molecular.
Referencias bibliográficas
Ganz T, Nemeth E. Hepcidin and disorders of iron metabolism. Annu Rev Med 2011; 62:347-60.
Silva B, Faustino P. An overview of molecular basis of iron metabolism regulation and the associated pathologies. Biochim Biophys Acta 2015;1852(7):1347-59.
Feder JN, Gnirke A, Thomas W, Tsuchihashi Z, Ruddy DA, Basava A, et al. A novel MHC class I-like gene is mutated in patients with hereditary haemochromatosis. Nat Genet 1996;13(4):399-408.
Gao J, Chen J, Kramer M, Tsukamoto H, Zhang AS, Enns CA. Interaction of the hereditary hemochromatosis protein HFE with transferrin receptor 2 is required for transferrin-induced hepcidin expression. Cell Metab 2009;9(3):217-27.
Barton JC, Edwards CQ, Acton RT. HFE gene: Structure, function, mutations, and associated iron abnormalities. Gene 2015;574(2):179-92.
Feder JN, Penny DM, Irrinki A, Lee VK, Lebrón JA, Watson N, et al. The hemochromatosis gene product complexes with the transferrin receptor and lowers its affinity for ligand binding. Proc Natl Acad Sci U S A 1998;95(4):1472-7.
Wu XG, Wang Y, Wu Q, Cheng WH, Liu W, Zhao Y, et al. HFE interacts with the BMP type I receptor ALK3 to regulate hepcidin expression. Blood 2014;124(8):1335-43.
Hollerer I, Bachmann A, Muckenthaler MU. Pathophysiological consequences and benefits of HFE mutations: 20 years of research. Haematologica 2017;102(5):809-17.
Distante S, Robson KJ, Graham-Campbell J, Arnaiz-Villena A, Brissot P, Worwood M. The origin and spread of the HFE-C282Y haemochromatosis mutation. Hum Genet 2004;115(4):269-79.
Heath KM, Axton JH, McCullough JM, Harris N. The evolutionary adaptation of the C282Y mutation to culture and climate during the European Neolithic. Am J Phys Anthropol 2016;160(1):86-101.
Lucotte G. Frequency analysis and allele map in favor of the celtic origin of the C282Y mutation of hemochromatosis. Blood Cells Mol Dis 2001;27(2):549-56.
Rochette J, Pointon JJ, Fisher CA, Perera G, Arambepola M, Arichchi DS, et al. Multicentric origin of hemochromatosis gene (HFE) mutations. Am J Hum Genet 1999;64(4):1056-62.
Pietrangelo A. Genetics, genetic testing, and management of hemochromatosis: 15 years since hepcidin. Gastroenterology 2015;149(5):1240-51.
Adams PC, Reboussin DM, Barton JC, McLaren CE, Eckfeldt JH, McLaren GD, et al. Hemochromatosis and Iron Overload Screening (HEIRS) Study Research Investigators. Hemochromatosis and iron-overload screening in a racially diverse population. N Engl J Med 2005;352(17):1769-78.
Soria NW, Cossy Isasi S, Chaig MR, Gerez de Burgos NM. Analysis of C282Y and H63D mutations of the hemochromatosis gene (HFE) in blood donors from Córdoba, Argentina. Ann Hematol 2009;88(1):77-9.
Parellada ME, Cervera M, Lazarte S, Issé B, Mónaco ME. Optimización de una técnica de PCR en tiempo real para la detección de mutaciones en el gen HFE. J Basic Applied Genetics 2014;XXV Suppl.(1):143.
Adams PC. Epidemiology and diagnostic testing for hemochromatosis and iron overload. Int J Lab Hematol 2015;37 Suppl 1:25-30.
Felipoff AL, Fleischman SJ, Donadío ML, Sebastiano V, Castro M, Vellicce A, et al. [Iron intake and HFE gen in male adults from Buenos Aires]. Medicina (Buenos Aires) 2017;77(6):458-64.
Kaczorowska-Hac B, Luszczyk M, Antosiewicz J, Ziolkowski W, Adamkiewicz-Drozynska E, Mysliwiec M, et al. HFE gene mutations and iron status in 100 healthy polish children. J Pediatr Hematol Oncol 2017;39(5):e240-3.
Alves LN, Santos EV, Stur E, Silva Conforti AM, Louro ID. Molecular epidemiology of HFE gene polymorphic variants (C282Y, H63D and S65C) in the population of Espírito Santo, Brazil. Genet Mol Res 2016;15(2): gmr.15028189.
Aranda N, Viteri FE, Montserrat C, Arija V. Effects of C282Y, H63D, and S65C HFE gene mutations, diet, and life-style factors on iron status in a general Mediterranean population from Tarragona, Spain. Ann Hematol 2010;89(8):767-73.
Adams PC, McLaren CE, Speechley M, McLaren GD, Barton JC, Eckfeldt JH. HFE mutations in Caucasian participants of the Hemochromatosis and Iron Overload Screening study with serum ferritin level <1000 µg/L. Can J Gastroenterol 2013;27(7):390-2.
Ropero P, Briceño O, Mateo M, Polo M, Mora A, González FA, et al. Frequency of the C282Y and H63D mutations of the hemochromatosis gene (HFE) in a cohort of 1,000 neonates in Madrid (Spain). Ann Hematol 2006;85(5):323-6.
Contreras Pérez F. Recluta masiva de emigrantes andaluces y su inserción social en Argentina (siglo XIX). Nuevas notas para su estudio. En: Anuario de Estudios Americanos. Tomo LIII. Sevilla, España: Universidad de Sevilla. 1996. p.173-97.
La Gaceta. Hay 4.370 ciudadanos italianos en Tucumán en la actualidad. 2010. Disponible en: http://www.lagaceta.com.ar/nota/381975/actualidad/hay-4370-ciudadanos-italianos-tucuman-actualidad.html?origen=notarel. Consultado el 14/03/22.
Calvo CL, Palacios de Cosiansi L, Naessens SF. Inmigración árabe “otomana” en la provincia de Tucumán, Argentina. 2013. http://paginasarabes.com/2013/05/11/inmigracion-arabe-otomana-en-la-provincia-de-tucuman-argentina/. Consultado el 14/03/22.
Floreani A, Rosa Rizzotto E, Basso D, Navaglia F, Zaninotto M, Petridis I, et al. An open population screening study for HFE gene major mutations proves the low prevalence of C282Y mutation in Central Italy. Aliment Pharmacol Ther 2007;26(4):577-86.
Mahfouz RA, Sarieddine DS, Charafeddine KM, Abdul Khalik RN, Cortas NK, Daher RT. Should we screen for hereditary hemochromatosis in healthy Lebanese: a pilot study. Mol Biol Rep 2012;39(1):753-9.
Worwood M. Iron deficiency anaemia and iron overload. In: Meloni D, Oberle K, Saltzberg D, editors. Dacie and Lewis Practical Haematology. 10TH ed. Philadelphia: Churchil Livingstone Elsevier; 2006. p.131-60.
Jackson HA, Carter K, Darke C, Guttridge MG, Ravine D, Hutton RD, et al. HFE mutations, iron deficiency and overload in 10,500 blood donors. Br J Haematol 2001;114(2):474-84.
Barton JC, Barton JC, Acton RT. White blood cells and subtypes in HFE p.C282Y and wild-type homozygotes in the hemochromatosis and iron overload screening study. Blood Cells Mol Dis 2017;63:9-14.
Notas