Artículos originales
Clima de seguridad del paciente percibido en tres laboratorios de análisis clínicos hospitalarios. Estudio de corte transversal
Patient safety climate perceived in three hospital’s clinical analysis laboratories. Cross-sectional study
Clima de seguridad del paciente percibido en tres laboratorios de análisis clínicos hospitalarios. Estudio de corte transversal
Bioquímica y Patología Clínica, vol. 85, núm. 2, pp. 27-34, 2021
Asociación Bioquímica Argentina
Resumen: Introducción: la seguridad del paciente ha sido identificada por la Organización Mundial de la Salud como un aspecto prioritario en la atención sanitaria. Los laboratorios de análisis clínicos no son ajenos a este concepto y la información proporcionada por ellos tiene un impacto directo sobre la misma. Objetivos: evaluar el clima de seguridad del paciente percibido por los integrantes de tres laboratorios de análisis clínicos hospitalarios. Comparar la percepción de seguridad del paciente (SP) según puesto de trabajo, años de experiencia y tipo de hospital. Materiales y métodos: se llevó a cabo un diseño cuantitativo y la aplicación de un cuestionario validado. Resultados: tasa de respuesta: 45 %. Mediana de edad: 43 años (Rango Intercuartílico = 9), 91,5 % femenino. Las puntuaciones más altas correspondieron al área 1 (factores individuales, sociales y culturales) con un valor promedio de 72,0 (IC 95%: 67,4 - 76,6), seguida por el área 2 (factores relacionados con la actividad), 70,0 (IC 95%: 66,1 - 73,9); el puntaje más bajo y, por lo tanto, el área menos valorada fue la 3 (factores relacionados con el equipo y los recursos) con un valor promedio de 55,0 (IC 95%: 51,8 - 58,3). La SP global evaluada en una escala de 0 -10, tuvo puntuación media de 7,4 (IC 95% 6,9-7,8). Según tipo de hospital, se obtuvo mejor valoración en el militar (7,90 ± 1,51), seguido del privado (7,39 ± 1,66) y último, el público. (6,47 ± 1,73) (p = 0,02). No se detectaron diferencias según sexo en la valoración global (p = 0,31); sí, entre edades (p = 0,04), con una puntuación más alta en mayores de 45 años. Según puesto de trabajo y años de experiencia, no se encontraron diferencias significativas en ninguna de las seis áreas. Conclusiones: el clima de seguridad del paciente valorado según escala global fue favorable en las tres instituciones y no varía de acuerdo con el puesto de trabajo. La capacitación para fortalecer la cultura de seguridad del paciente debería estar orientada a todos los actores. No se encontraron fortalezas en ninguno de ítems relacionados con la comunicación, dimensión clave de una cultura orientada a la seguridad.
Palabras clave: cultura de seguridad del paciente, clima de seguridad, laboratorios de hospital.
Abstract: Introduction: Patient safety has been identified by the World Health Organization as a priority aspect in health care. Clinical analysis laboratories are no stranger to this concept, and the information provided by them has a direct impact on it. Objective: To evaluate the patient safety climate perceived by the members of three hospital’s clinical analysis laboratories and to compare the perception of patient safety according to their job position and years of experience, and type of hospital (military, private and public). Materials and methods: Quantitative design, applying a validated questionnaire. Results: 45% response rate, median age: 43 years (Interquartile Range = 9), 91.5% female. The highest scores corresponded to individual, social and cultural factors, with an average value of 72.0 (95% CI: 67.4-76.6), followed by activity-related factors (70.0 (95% CI: 66.1-73.9)). The lowest score and therefore the least valued corresponded to factors related to equipment and resources, with an average value of 55.0 (95% CI: 51.8-58.3). The overall patient safety evaluated on a scale of 0-10 had an average score of 7.4 (95% CI 6.9-7.8). Depending on the type of hospital, the best assessment was obtained in the military hospital (7.90 ± 1.51), followed by the private (7.39 ± 1.66) and the public hospitals (6.47 ± 1.73) (p = 0.02). In the overall assessment, no differences were detected according to gender (p = 0.31), whereas differences were detected between ages (p = 0.04), with a higher score in people over 45 years. According to the job position and years of experience, no significant differences were found in any of the six areas studied. Conclusions: The patient safety climate valued according to a global scale was favorable in the three institutions and did not vary according to the job position. Training to strengthen the patient safety culture should be aimed at all actors. No strengths were found in any of the items related to communication, a key dimension of a security-oriented culture.
Keywords: Culture of patient safety, Safety climate, Hospital laboratories.
Introducción
La preocupación por la seguridad del paciente (SP) no es un tema nuevo, ya que los primeros estudios datan de 1950, pero lo cierto es que, en los últimos años, desde que el Instituto de Medicina de los Estados Unidos publicó el libro To err is human: Building a Safer Health System, en 1999, el problema ha adquirido una dimensión mundial y se ha incorporado a las agendas políticas y al debate público.1
Hasta hace poco tiempo, los aspectos relativos a la SP se circunscribían exclusivamente a los servicios con actividad clínica directa sobre el paciente, y el resto de los servicios asistenciales, incluido el laboratorio clínico, quedaban al margen de esta.2 Diferentes autores que han estudiado la influencia del laboratorio clínico en la SP concuerdan en que, de los sucesos adversos detectados, la responsabilidad directa del laboratorio alcanza el 60 %; dentro de ellos, el 71 % se localiza en la etapa preanalítica y, a su vez, el 74 % podían prevenirse.3,4,5,6 La mayoría de los autores coinciden en que la mayor parte son errores en la identificación del paciente y el retraso de las pruebas o entrega de resultados.7,8,9,10
La SP, entonces, se ha convertido en una prioridad para los laboratorios clínicos.11En la actualidad, la comunidad científica internacional la reconoce como un problema grave que requiere un enfoque global, con el propósito de minimizar las tasas de error y promover la mejora de la calidad. Por ésta razón, la Education and Management Division (EMD) de la International Federation of Clinical Chemistry and Laboratory Medicine (IFCC), en 2008, lanzó un grupo de trabajo específico llamado “Working Group on Laboratory Errors and Patient Safety "(WG- LEPS) como herramienta para mejorar el conocimiento en este campo a nivel internacional y recomendar el desarrollo y aplicación de protocolos operativos estandarizados12; a nivel nacional, se reconoce al Grupo Argentino para la Seguridad del Paciente (GASP), que aborda esta temática de una manera interlaboratorial.13
Si queremos minimizar los errores en la atención sanitaria, debemos comenzar por comprender los “factores humanos” y conocer las causas culturales, educacionales y de formación, así como los aspectos organizativos y estratégicos relacionados con las condiciones de trabajo. Conocer y monitorear en qué medida nos implicamos y qué grado de compromiso tenemos como bioquímicos respecto de la SP es el primer paso hacia la práctica de una atención sanitaria libre de daños evitables.
El objetivo del trabajo fue evaluar el clima de seguridad del paciente percibido por los integrantes (bioquímicos, técnicos y administrativos) de tres laboratorios clínicos hospitalarios.
| Característica hospital | Capital humano | Excluidos | Encuestados válidos (n = 52) |
| Militar | 50 | 4 | 25 |
| Público | 31 | 3 | 19 |
| Privado | 14 | 0 | 8 |
| n | % general | % encuestas | |||||
| válidas | |||||||
| Sexo | |||||||
| Femenino | 43 | 82,7 | 91,5 | ||||
| Masculino | 4 | 7,7 | 8,5 | ||||
| Datos perdidos | 5 | 9,6 | - | ||||
| Edad | |||||||
| ≤ 45 | 28 | 53,8 | 59,6 | ||||
| > 45 | 19 | 36,5 | 40,4 | ||||
| Datos perdidos | 5 | 9,6 | - | ||||
| Años de experiencia en laboratorio | |||||||
| > 5 | 8 | 15,4 | 16,3 | ||||
| 5 – 10 | 15 | 28,8 | 30,6 | ||||
| 10 – 20 | 12 | 23,1 | 24,5 | ||||
| ≥ 20 | 14 | 26,9 | 28,6 | ||||
| Datos perdidos | 3 | 5,8 | - | ||||
| Años en trabajo actual | |||||||
| > 5 | 17 | 32,7 | 34,7 | ||||
| (5 - 10) | 8 | 15,4 | 16,3 | ||||
| (10 - 20) | 12 | 23,1 | 24,5 | ||||
| ≥ 20 | 12 | 23,1 | 24,5 | ||||
| Datos perdidos | 3 | 5,8 | - | ||||
| Puesto de trabajo | |||||||
| Jefe de Servicio | 2 | 3,8 | 4,7 | ||||
| Bioquímico | 25 | 48,1 | 58,1 | ||||
| Residente Bqco. | 1 | 1,9 | 2,3 | ||||
| Administrativo | 4 | 7,7 | 9,3 | ||||
| Técnico de Lab. | 11 | 21,2 | 25,6 | ||||
| Datos perdidos | 9 | 17,3 | - | ||||
| % encuestas válidas, porcentaje calculado con respecto a las encuestas sin datos faltantes; % general, porcentaje calculado teniendo en cuenta los datos faltantes. | |||||||




Materiales y métodos
El estudio tiene un diseño observacional, descriptivo, de corte transversal, con aplicación de un cuestionario estructurado, durante el mes de junio de 2016.
La población de estudio se conformó con el personal estable de laboratorio: bioquímicos, técnicos y administrativos de tres hospitales de las ciudades de Bahía Blanca y Punta Alta. Para la aplicación del cuestionario, la muestra en cada uno de los tres hospitales fue no probabilística y se realizó por conveniencia.
Criterios de exclusión
Se excluyó al personal que trabajase menos de 20 horas semanales, a aquellos trabajadores con licencias prolongadas en los últimos 6 meses (licencias por enfermedad que implicaban ausencia laboral de, al menos, 3 meses) y a los que tuvieran menos de un año de antigüedad en su puesto de trabajo.
Técnica e instrumento de recolección de datos. Implementación
Se utilizó un cuestionario validado por el grupo español de Giménez y col. para evaluar la SP en los laboratorios clínicos integrado por 12 dimensiones que recogen las diferentes perspectivas sobre la SP que pueden darse en el ámbito de los laboratorios clínicos.
Área 1- Factores individuales, sociales y culturales (9 ítems);
Área 2- Factores relacionados con la actividad (17 ítems);
Área 3-Factores de equipamiento y recursos (10 ítems);
Área 4- Factores relacionados con las condiciones de trabajo (6 ítems);
Área 5- Factores educacionales y de formación (10 ítems);
Área 6- Factores relacionados con la comunicación (10 ítems).
La valoración de los ítems se realiza por medio de una escala de Likert de 0 - 5 puntos, que incluye la posibilidad “no sabe/no contesta” y, al final, presenta una escala de valoración global de SP de 0 -10 puntos.14
La entrega del cuestionario se realizó de manera individualizada y estuvo a cargo de personal asignado en cada uno de los hospitales. Una vez respondido, se habilitaron urnas en los laboratorios de los diferentes hospitales para la recolección de los mismos. Los encuestados dieron el consentimiento informado.
Definición operacional de la variable principal
El clima de seguridad es definido por la percepción del estado de seguridad, en un determinado momento del tiempo, como una fotografía de la cultura de la seguridad relativamente inestable y sujeta al cambio, asociada a factores intangibles como factores situacionales y ambientales.15
El resultado del score de clima de seguridad (SCS) fue medido en una escala de 0 - 100, según lo propuesto por los autores, que toman como referencia los criterios de evaluación de la Agency for Healthcare Research and Quality (AHRQ), estableciendo un punto de corte > 75 % para las fortalezas y < 50 % para las debilidades.16
Análisis de datos
Se calcularon los puntajes por área, sumando los ítems que las componen y se expresaron como porcentaje del máximo valor posible en una escala de 0 - 100. Los ítems faltantes, es decir, los no respondidos fueron recodificados con el valor medio del ítem en cuestión, para no perder casos debido a que el software estadístico sólo permite el análisis de los casos en que están todos los valores de las variables que conforman esa dimensión.
Se tomó como referencia los criterios de evaluación de la AHRQ, según lo propuesto por los autores del cuestionario, que establecen un punto de corte de > de 75 % para las fortalezas y < 50 % para las debilidades o áreas que necesitan mejoras. Se agregó un punto de corte adicional de < 25 % para los ítems peor valorados.
Se evaluó cada uno de los ítems agrupando los valores extremos positivos (puntajes 4 y 5 o de 0 y 1 para los ítems inversos). Los ítems inversos son aquellos que por su significado o su formulación miden en sentido contrario al resto del cuestionario. La solución más sencilla con los ítems inversos es “desinvertirlos” antes de comenzar el análisis, es decir, que se da vuelta su escala numérica. Es por ello que estos fueron recodificados a 4 - 5 para su posterior análisis.
Se realizó un análisis descriptivo de las variables de estudio. Con el fin de comparar el puntaje entre diferentes variables independientes, estas fueron dicotomizadas para evitar categorías con muy baja representación. Se utilizó la prueba T deStudent y el test no paramétrico de Mann - Whitney. Para la comparación entre hospitales se empleó el test de análisis de la varianza (ANOVA). Se utilizó un nivel de significación de 0,05. El análisis estadístico se realizó usando el software SPSS versión 17 (SPSS Science, Chicago, IL).
Resultados
Del total de la población en estudio de los tres hospitales (n = 95), 7 individuos cumplieron con los criterios de exclusión de la investigación. De los 88 restantes, el 45 % (52/88) respondió el cuestionario y la tasa de respuesta fue menor que la esperada (Tabla I). Los que no respondieron la encuesta tampoco dieron el consentimiento. El tiempo promedio de respuesta fue de 15 ± 7 minutos. El promedio de edad fue de 43 ± 9 años (46 ± 9 años, militar; 41 ± 10 años, público; 38 ± 8 años, privado) y el 91,5 % fue del sexo femenino. Con respecto a su experiencia, el 53 % (26) ha trabajado en el laboratorio por más de 10 años. Según el puesto de trabajo, el grupo más numeroso correspondió a bioquímicos (58,1 %) seguido de técnicos de laboratorio (25,6 %) y administrativos (9,3 %) (Tabla II).
I) Análisis de la respuesta a cada ítem individual
El análisis de la relación y distribución de valores extremos (0 - 1 y 4 - 5) para cada ítem mostró que en el 85,4 % de los mismos (53/62) se obtuvo una tasa de respuesta superior al 90 % y solo en cinco ítems (8,1 %) esta tasa fue inferior al 85 %.
Según los encuestados, en el área 1 (factores individuales, sociales y culturales), se encontraron dos puntos fuertes; en el área 2 (factores relacionados con la actividad), se identificaron tres puntos fuertes y cinco puntos débiles; en el área 3 (factores de equipamiento y recursos), nueve de los diez ítems se identificaron como puntos débiles; en el área 4 (factores relacionados con las condiciones de trabajo), cuatro de los seis ítems se consideraron debilidades y no se encontraron fortalezas; en el área 5 (factores educacionales y de formación), se citaron tres puntos fuertes y cuatro como puntos débiles; finalmente, en el área 6 (factores relacionados con la comunicación), no hubo ningún punto fuerte.
En la figura 1, se resumen los porcentajes de encuestados que valoraron con 4 o 5 las aseveraciones de cada ítem del cuestionario. (n = 52). Se observan en color verde los ítems mejor valorados: 1.1 “Le gusta su trabajo”;1.2 “Se siente satisfecho con la labor que realiza”; 2.1 “Conoce las funciones, competencias y responsabilidades de su puesto”; 2.2 ”Su práctica diaria se adecua a los procedimientos y normativas”; 2.8 “Su laboratorio tiene implementados procedimientos y acciones para promover la correcta identificación del paciente (petición) y de las muestras; 5.6 “Es consciente de que su actuación puede generar errores que pueden perjudicar a la SP”; 5.7 “Tiene conocimiento de las repercusiones que tienen para los pacientes los errores del laboratorio”; 5.8 “Conozco y entiendo el por qué se implementan registros relacionados con la seguridad del paciente: calidad de las muestras, peticiones, tiempos de llegada, errores de identificación, etc.”. En color rojo aparecen los peor valorados: 3.3 “Se sustituye al personal ante bajas o permisos reglamentarios”, 3.6 “Valore la proporción de peticiones analíticas que llegan con etiquetas identificativas del paciente pero sin código de barras (sin captura automática de datos)”.
II) Análisis de la seguridad del paciente (SP) por área
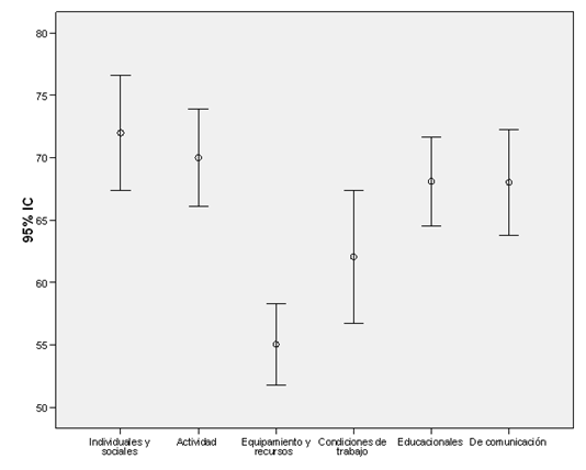
Las puntuaciones más altas correspondieron al área 1 (factores individuales, sociales y culturales) con un valor promedio de 72,0 (IC 95%: 67,4 - 76,6), seguida por el área 2 (factores relacionados con la actividad) con un valor promedio de 70,0 (IC 95%: 66,1 - 73,9); el puntaje más bajo y, por lo tanto, el área menos valorada fue la 3 (factores relacionados con el equipo y los recursos), con un valor promedio de 55,0 (IC 95%: 51,8 - 58,3) (Figura 2).
III) Comparación de cada área según diferentes variables
No se encontraron diferencias significativas en ninguna de las áreas según sexo. Al comparar según categorías de edad, se encontraron diferencias significativas en las áreas 1, 2, 3 y 6, que presentaron mejores valoraciones para los mayores de 45 años. Al evaluar la SP según años de experiencia en laboratorio, solo se encontraron diferencias (p = 0,02) en el área 4, “factores relacionados con las condiciones de trabajo”, a favor de aquellos con más de 10 años de experiencia. Según años en trabajo actual y puesto de trabajo, no se detectaron diferencias significativas en ninguna de las seis áreas.
IV) Análisis de la valoración global de la seguridad del paciente
La SP evaluada de manera global en una escala de 0 a 10 recibió una puntuación media de 7,4 puntos (IC del 95%: 6,9 - 7,8).
V) Comparación de la valoración global de la seguridad del paciente según diferentes variables
Entre sexos no se detectaron diferencias en la valoración global de la SP (p = 0,31), pero sí, entre edades (p = 0,04), con una puntuación mayor entre los mayores de 45 años (Figura 3).
Según años de experiencia en laboratorio, se encontraron diferencias (p = 0,04) con una mejor valoración entre los que tienen más de 10 años de antigüedad.
Según puesto de trabajo y años de experiencia en el centro actual, no se encontraron diferencias significativas. (p = 0,53) (p = 0,69).
Según tipo de hospital, hubo una mejor valoración de la SP global en el militar (7,90 ± 1,51), seguido del privado (7,39 ± 1,66) y por último, del público. (6,47 ± 1,73) (p = 0,02). En la figura 4 se visualiza cómo se distribuye la valoración global según puestos de trabajo en cada uno de los hospitales.
Discusión
El personal, casi en su totalidad, es de sexo femenino, lo que condice con una fuerte tendencia a la feminización de la profesión bioquímica y de otras profesiones de la salud a lo largo de los años.17,18 Aproximadamente la mitad tiene más de diez años de experiencia de trabajo en su laboratorio actual, hecho que puede ser visto como una ventaja, si analizamos en términos de antecedentes compartidos y experiencia de un aprendizaje en común.
Cuando se analiza la respuesta a cada ítem de manera individual, se destaca la alta valoración respecto del conocimiento y conciencia del error en el laboratorio y sus consecuencias sobre el paciente. Esto sumado a una alta satisfacción del trabajo que realizan, se interpreta como una ventaja o un facilitador a la hora de abordar la implementación de estrategias de mejora.
Uno de los ítems peor valorados correspondió al relacionado con la sustitución del personal (ítem 3.3), que es sabido tiene un fuerte impacto en los trabajadores y constituye un aspecto de alto riesgo, que muchas veces no es tenido en cuenta como una amenaza a la SP. La baja valoración del ítem 3.6, “Valore la proporción de peticiones analíticas con los datos del paciente rellenados a mano”, puede interpretarse de tal manera, por el hecho de que solo uno de los tres laboratorios posee tecnología para etiquetado de muestras. Cabe destacar que no se encontraron fortalezas en ninguno de los ítems relacionados con la comunicación, dimensión clave de una cultura orientada a la seguridad.
Del análisis por área, los resultados coinciden con el trabajo de Giménez et al.19, donde los peores puntajes son para las áreas 3 (Factores de equipamiento y recursos) y 4 (Factores relacionados con las condiciones de trabajo). Respecto de las mejores valoradas también hay coincidencias, pero con un menor puntaje.
Del análisis de las áreas según variables, un hallazgo importante es que, para todas las áreas de análisis, la percepción de la SP no varía de acuerdo con el puesto de trabajo del encuestado.
Del análisis según escenario hospitalario, la percepción fue diferente en los hospitales participantes. El grado de SP según valoración global, fue mejor para el hospital militar, seguido del privado y, por último, del público. Esta diferencia podría ser explicada por la distinta composición del personal con respecto a la edad. El hospital militar cuenta con una población con una media de edad estadísticamente mayor (46 ± 9 años), probablemente más involucrada en temáticas como la SP, cuya instalación en la agenda actual y en las organizaciones de salud de nuestro país es cada vez más vigente.
Al momento de interpretar los resultados es necesario tener en cuenta ciertas limitaciones en el presente trabajo. El diseño del estudio (corte transversal) y el tipo de variable principal (clima de seguridad) obligan a señalar que los resultados son solo válidos al momento del estudio y no son extrapolables, pues clima y cultura de seguridad son constructos inherentes a cada institución y poseen un carácter dinámico que obliga a monitorearlos con periodicidad.
Luego de la aplicación del cuestionario, se esperaba obtener una tasa de respuesta superior al 70 % de la totalidad de la población, sin embargo, si bien se realizaron recordatorios periódicos y visitas de refuerzo a los diferentes laboratorios, no se alcanzó a llegar al porcentaje propuesto.
A pesar de que el clima de SP valorado según escala global fue favorable, con una puntuación media de 7,4, en el análisis de los ítems individuales, los puntos débiles superan ampliamente a las fortalezas. Por lo tanto, no podemos concluir que los resultados globales sean realmente favorables. Esta disparidad en los resultados puede interpretarse a partir de que, muchas veces, una escala global da una impresión general e intuitiva sobre lo que se pregunta, y en este caso, los encuestados tienen una mejor impresión global de la SP de lo que realmente valoran cuando responden ítem por ítem de manera individual. La percepción del clima de SP fue diferente en los hospitales participantes: fue mejor valorada en el hospital militar, seguida del privado y por último del público. La percepción de la SP no varía de acuerdo con el puesto de trabajo en el laboratorio. El área menos valorada fue la relacionada con factores de equipamiento y recursos.
Existe una alta valoración respecto del conocimiento y conciencia del error en el laboratorio y sus consecuencias sobre el paciente. Se evidencia una ausencia de procedimientos y normativas relacionadas con el trabajo en el laboratorio en general, que atenta contra la SP.
La mayoría de los participantes optó por un enfoque del error centrado en la persona y muchos de ellos no identificaron elementos del sistema que tienen impacto en la seguridad: notificación, registro formal, análisis errores.
Para lograr un laboratorio clínico más seguro, el desafío será primero realizar intervenciones efectivas que mejoren la cultura de seguridad para poder implementar luego las estrategias específicas y adecuadas.
Referencias Bibliográficas
Kohn L, Corrigan J, Donalson MS. To Err Is Human: Building a Safer Health System. Committee on Quality of Health Care in American Institute of Medicine. Washington: National Academy Press; 2000.
Mérida de la Torre FJ, Moreno Campoy EE. Fundamentos de Seguridad del Paciente. Análisis y Estrategias en el Laboratorio Clínico. Madrid: Médica Panamericana; 2012.
Plebani M, Ceriotti F, Messeri G, Ottomano C, Bonini P. Laboratory Network of Exellence: Enhancing Patient Safety and Service Effectiveness. Clin Chem Lab Med 2006; 44(2):150-60.
Ventura Pedret S, Chueca Rodríguez P, Rojo Vizcaíno I, Castaño Vidriales JL. Errores relacionados con el laboratorio clínico. Quim Clin 2007; 26(1):23-8.
Leape LL.Error in medicine. JAMA 1994; 272(23):1851-7.
Howanitz PJ. Errors in Laboratory Medicine: Practical Lessons to improve Patient Safety. Arch Pathol Lab Med 2005; 129(10):1252-61.
Plebani M, Carraro P. Mistakes in a stat laboratory: types and frequency. Clin Chem 1997; 43(8 Pt 1):1348-51.
Witte DL, VanNess SA, Angstadt DS,Pennell BJ .Errors, mistakes, blunders, outliers, or unacceptable results: how many?. Clin Chem 1997; 43(8 Pt 1):1352-6.
Astion ML, Shojania KG, Hamill TR, Kim S, Ng VL. Classifying laboratory incident reports to identify problems that jeopardize safety. Am J Pathol 2003; 120(1):18-26.
Bonini P, Plebani M, Ceriotti F, Rubboli F. Errors in laboratory medicine. Clin Chem 2002; 48(5):691-8.
Alvarez C, Ortega Madueño I, Cuadrado Cenzual MA. La seguridad del paciente en el laboratorio clínico. Implantación de un protocolo de identificación inequívoca de paciente. Rev Lab Clin 2012; 5(1):3-9.
Sciacovelli L, O’Kane M, Skaik YA, Caciagli P, Pellegrini C, Da Rin G, et al. Quality indicators in laboratory medicine: from theory to practice. Preliminary data from the IFCC Working Group Project “Laboratory errors and patient safety”. Clin Chem Lab Med 2011; 49(5):835-44.
Trunzo C. Experiencia del Grupo Argentino para la Seguridad del Paciente. [Internet]. [Último acceso 2 Jun 2019]. Disponible en: https://www.aba-online.org.ar/sitio/72congreso/jornadaprecongreso/3a.pdf
Giménez-Marín A, Rivas-Ruiz F.Validación de un cuestionario para evaluar la seguridad del paciente en los laboratorios clínicos. Gac Sanit 2012; 26(6):560-5.
Wiegmann D, Zhang H, Von Thaden F, Sharma G, Mitchell A. A synthesis of Safety Culture and SafetyClimate Research. [Internet]. 2002 [Último acceso 5 Jul 2019]. Disponible en: https://www.nrc.gov/docs/ML1025/ML102500649.pdf
Sexton JB, Helmreich RL, Neilands TB, Rowan K, Vella K, Boyden J, et al. The Safety Attitudes Questionnaire: Psychometric Properties, Benchmarking Data and Emerging Research. BMC Health Services Research 2006; 6:44.
Arca M A. El ejercicio profesional bioquímico en Latinoamérica y en Argentina. Acta Bioquím Clín Latinoam 2008; 42(3):339-59.
Eiguchi K. La feminización de la Medicina. Rev Argent Salud Pública 2017; 8(30):6-7.
Gimenez-Marin A, Rivas-Ruiz A, Garcia-Raja AM, Venta R. Assesment of patient safety culture in clinical laboratories in the Spanish National Health System. Biochemia Medica 2015; 25(3):363-76.
Información adicional
Conflicto de intereses: Los autores declaran no tener ningún conflicto de intereses.